- 질문 게시판입니다.
| Date | 20/06/27 18:30:30 |
| Name | 귀차니스트 |
| File #1 | 20200627_182753.jpg (377.7 KB), Download : 40 |
| Subject | 고1 수학 문제를 못풀겠습니다. |
|
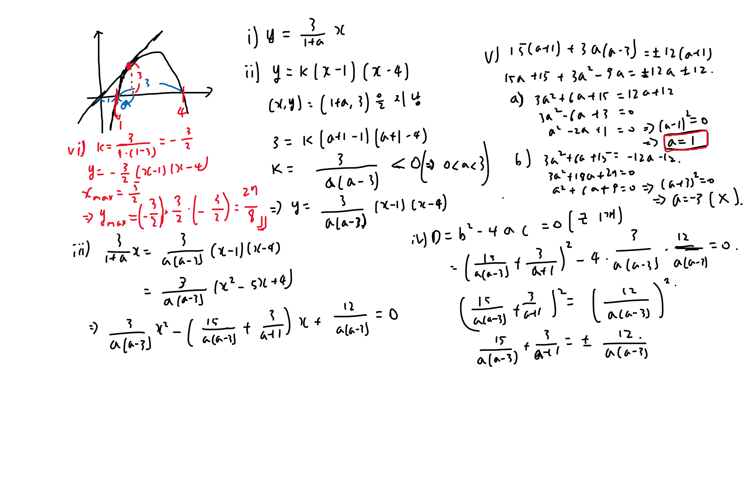
정답은 3번이라고 합니다. 대학생이나 되서 이거를 못푸니 부끄럽습니다. 이차함수와 X축과의 두 접점, 일차함수와 이차함수가 한점에서 접함, 접점의 X좌표, 이차함수 최대값을 잘 응용해야 헐 거 같은데 그게 안되네요. 부끄러움을 무릅쓰고 올려봅니다. 0
이 게시판에 등록된 귀차니스트님의 최근 게시물 |
|





