- 질문 게시판입니다.
Date 18/12/31 09:02:22
Name   기아트윈스
Subject   특수문자 (ō 이거랑 ŏ 이거) 쉽게 입력하는 법이 궁금합니다
제곧내.

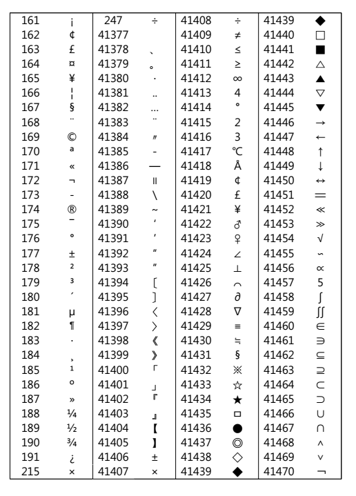
전자는 일본어를 햅번법에 따라 로마지로 전환시 장음표시한다고 자주 쓰는 문자입니다. e.g. 東洋史 (tōyōsi)

후자는 한국어를 맥큔-라이샤워법에 따라 영자표기시 'ㅓ'를 표시할 때 쓰는 문자입니다. e.g. 이명박 (Yi Myŏngbak)

직업상 저런 걸 쓸 일이 많은데 지금까진 그냥 저게 입력된 탭을 크롬에 띄워놓고 필요할 때마다 가서 복/붙 했는데, 이 짓을 계속 하려다보니 좀 더 근본적인 해결책, 깔끔하게 키보드로 입력할 수 있는 방법이 없나 알아보는 중입니다.

일본어 부분은 아는 분이 좀 계실 것 같은데 힌트 좀 주세염...;ㅅ;



0


목록
번호 제목 이름 날짜 조회 추천
공지 질문 게시판 이용 규정 11 토비 15/06/19 26839 4
17213 기타과메기를 주문하고 싶읍니다. 2 + 모크샤 26/01/30 95 0
17212 기타안에 털 들어가있는 방한화 안전하고 편안한지요...? 2 + 홍당무 26/01/29 193 0
17211 기타더글로우 갈까요 말까요 4 골든햄스 26/01/28 467 0
17210 IT/컴퓨터모니터와 멀티탭의 일반적인 수명? 이 궁금합니다. 14 + K-이안 브레머 26/01/28 451 0
17209 가정/육아여권사진을 셀프로 찍어서 온라인으로 신청하려고 하는데요. 혹시 요령이 있을까요? 10 문샤넬남편 26/01/26 642 0
17208 의료/건강오늘 강냉이 빼러갑니다 2 DogSound-_-* 26/01/26 331 0
17207 기타가방을 사고싶은데 너무 비싸서 뭘 사야할지 모르겠어요... 17 dongri 26/01/25 578 0
17206 진로나이에 비해 너무 어리다는 생각이 듭니다 18 JaneJ 26/01/25 848 0
17204 가정/육아처가에 다니는 게 스트레스입니다 20 [익명] 26/01/23 1071 0
17203 기타지름병이 왔습니다. 아이템 추천해주십시오 22 쉬군 26/01/22 618 0
17202 문화/예술똑딱이 카메라 추천 부탁드립니다 8 Mandarin 26/01/22 319 1
17201 기타병원 질문입니다 1 김치찌개 26/01/21 284 0
17200 경제단독주택 매물 볼 수 있는 곳이 있을까요? 7 루루얍 26/01/19 677 0
17199 문화/예술유럽/독일식 비즈니스 문화를 알려주는 책/리소스? 4 열한시육분 26/01/18 651 0
17198 여행중국 골프여행 여행사 추천 해주세요 유니브로 26/01/17 283 0
17197 경제한국 한정 테슬라가 왤케 인기가 많죠? 28 whenyouinRome... 26/01/17 1055 0
17196 게임게임 추천 좀 부탁드려요 어둠달골짜기 26/01/16 424 0
17195 의료/건강60대 여성의 불면증 치료 문의. 6 [익명] 26/01/15 683 0
17194 기타어떤 차를 사야할까요? 16 nothing 26/01/15 577 0
17193 IT/컴퓨터제 2의 인생을 위해 AI 프롬프트 공부를 좀 해보고 싶은데 어떤 자료를 좀 찾아보면 좋을까요...? 9 Clair Obscur 26/01/15 657 0
17192 문화/예술클래식 연주회 티켓은 어디서 양도가능할까요? 4 구바 26/01/14 436 0
17191 기타Windows 10 질문입니다 1 김치찌개 26/01/14 269 0
17190 경제단 하나의 신용카드만 쓴다면 뭐가 좋을까요? 7 두부곰 26/01/14 509 0
17189 체육/스포츠오늘 자전거 도로 상태 질문 6 트린 26/01/14 365 0
목록

+ : 최근 2시간내에 달린 댓글
+ : 최근 4시간내에 달린 댓글

댓글