- 새로운 뉴스를 올려주세요.
Date 20/05/24 19:00:24수정됨
Name   다군
File #1   img20200524_185905.jpg (667.2 KB), Download : 36
Subject   국내 렘데시비르 임상 책임자 "코로나19 표준치료제 기대"


https://www.yna.co.kr/view/AKR20200524036500017


https://www.yna.co.kr/view/AKR20200524032600009


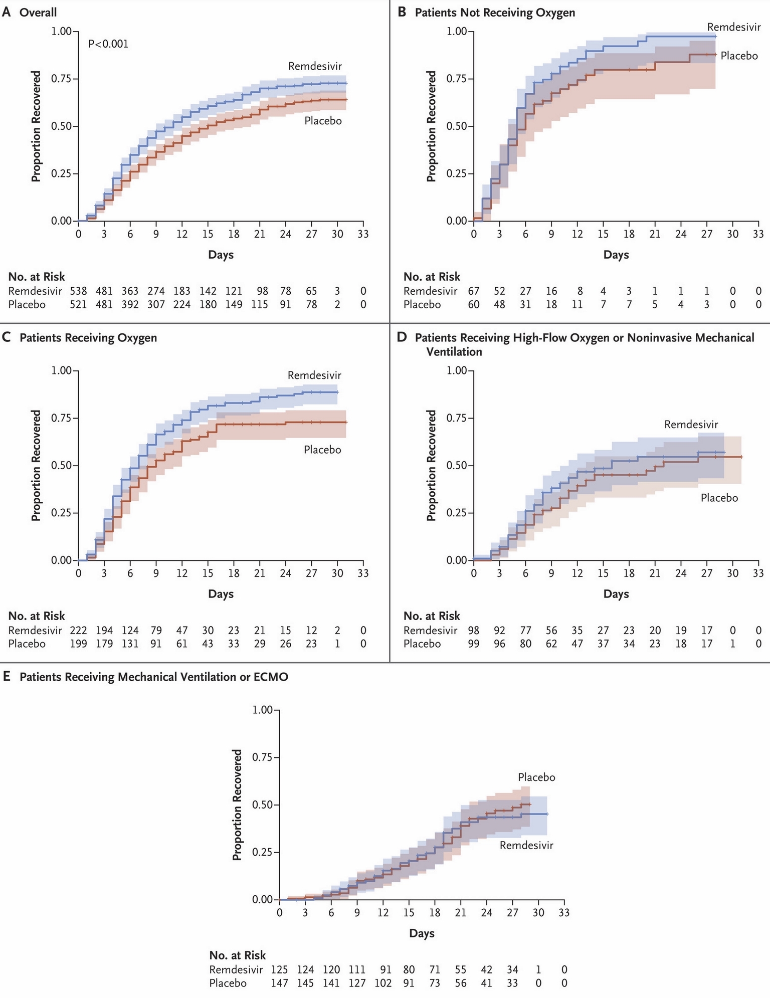
Remdesivir for the Treatment of Covid-19 — Preliminary Report
https://www.nejm.org/doi/full/10.1056/NEJMoa2007764





기적의 약은 없었고, 렘데시비르는 의료 자원을 아끼는 데 효과가 있다?!

NIH 렘데시비르 연구 결과가 나온 이후로 실망한 분들도 많던데, 그래도 상대적으로 치료 기간 단축 효과나마 입증된 것은 렘데시비르 정도.

트럼프 대통령이나 보우소나루 대통령 등이 심하게 미는 약들은 부작용도 크고 오히려 사망률도 높인다고 하니, 이 정도면 양반이랄까요?

별개로 우리나라에서는 재양성이나 재재양성의 경우 타인을 감염시키지 않는다는 소식이 있었고, 최근 싱가포르에서는 증상 발현 후 7~10일이 지나면 양성으로 나와도 타인을 감염시키지 않는다는 입장문(?)도 나왔습니다. 좀 더 지켜봐야겠지만, 불행 중 다행인 소식들인 것 같습니다.




https://www.yna.co.kr/view/AKR20200523001651071


Hydroxychloroquine or chloroquine with or without a macrolide for treatment of COVID-19: a multinational registry analysis
https://www.thelancet.com/journals/lancet/article/PIIS0140-6736(20)31180-6/fulltext

Chloroquine or hydroxychloroquine for COVID-19: why might they be hazardous?
https://www.thelancet.com/journals/lancet/article/PIIS0140-6736(20)31174-0/fulltext


Position Statement from the National Centre for Infectious Diseases and the Chapter of Infectious Disease Physicians,Academy of Medicine, Singapore
https://www.ams.edu.sg/view-pdf.aspx?file=media%5c5556_fi_331.pdf&ofile=Period+of+Infectivity+Position+Statement+(final)+23-5-20+(logos).pdf

Evidence summary for COVID-19 viral load over course of infection - Health Information and Quality Authority
https://www.hiqa.ie/sites/default/files/2020-04/Evidence-Summary_COVID-19_duration-of-infectivity-viral-load_0.pdf



0


목록
번호 제목 이름 날짜 조회 추천
20416 의료/건강한국인만 된다는 '쪼그려 앉기' 편해도 무릎 건강엔 '치명적' 8 다군 20/05/27 4691 2
20412 의료/건강러 '투명보호복 비키니 논란' 간호사 응원 인증샷 줄이어 10 먹이 20/05/27 4237 0
20399 의료/건강코로나바이러스 면역 6개월만 지속…'집단면역 무의미 3 맥주만땅 20/05/26 3585 0
20396 의료/건강코로나 자가격리 무단이탈해 술 마신 20대…징역 4월(종합) 9 T.Robin 20/05/26 3657 0
20375 의료/건강공공의료원 세워도 의사가 없어.. 다시 힘받는 '지역의사 특별전형' 42 Erzenico 20/05/25 4941 9
20370 의료/건강국내 렘데시비르 임상 책임자 "코로나19 표준치료제 기대" 2 다군 20/05/24 4715 0
20353 의료/건강대구도 이태원 클럽발 코로나19 환자 발생(종합2보) 3 다군 20/05/23 4270 1
20349 의료/건강우한교민 S, 신천지 V, 이태원클럽 G..바이러스 종류 다 달랐다 7 토끼모자를쓴펭귄 20/05/22 4350 0
20347 의료/건강1%만이 가진 '살 찌지 않는 유전자' 특징 찾았다 5 토끼모자를쓴펭귄 20/05/22 3981 0
20329 의료/건강K방역은 성공했을지 몰라도 K의료는 혼란 그 자체였다 12 먹이 20/05/21 4651 14
20305 의료/건강미 의학전문지, 모더나 코로나백신에 의혹 제기..주가 폭락 1 토끼모자를쓴펭귄 20/05/20 3498 0
20302 의료/건강"면역 거부 세포막 없앤 줄기세포로 남성형 탈모증 호전 확인" 13 다군 20/05/20 4664 0
20272 의료/건강정부 "이태원 클럽 감염, 추적속도가 확산속도 따라잡아" 15 T.Robin 20/05/18 4684 0
20270 의료/건강'개 후각'으로 코로나19 잡는다..美·英서 탐지견 훈련 6 곰곰이 20/05/18 4058 0
20257 의료/건강이번엔 달랐던 '교회'·'콜센터'..거리두기가 갈랐다 4 Schweigen 20/05/16 3925 2
20244 의료/건강"떠들다 떠난 곳 코로나19 침방울 8분 이상 떠다닌다" 다군 20/05/15 4733 1
20241 의료/건강하루 2~3잔 커피, 뱃살 빼준다 25 swear 20/05/15 4661 0
20224 의료/건강"백내장 수술결정 신중히"…부작용 피해구제신청 많아 9 맥주만땅 20/05/14 4695 2
20221 의료/건강렘데시비르보다 600배 강력한 코로나19 약물 찾았다 10 소원의항구 20/05/14 4321 0
20219 의료/건강캐나다 보건부, '불량' 중국산 KN95 마스크 리콜 명령 4 맥주만땅 20/05/14 4658 0
20215 의료/건강미 '어린이 괴질' 15개 주에서 발병 5 T.Robin 20/05/14 3534 0
20184 의료/건강이태원 인기 클럽 '메이드'서 신규 확진자 발생 10 Schweigen 20/05/12 4665 7
20178 의료/건강이재명 , 코로나19 '이태원 집단감염' 긴급 행정명령 8 Schweigen 20/05/11 4743 5
20147 의료/건강부산 '0명' vs 이태원 '17명'..클럽 집단감염 가른 2가지 7 퓨질리어 20/05/09 4712 0
20144 의료/건강사이버사령부 하사 코로나19 확진…지침 어기고 이태원클럽 방문(종합) 10 T.Robin 20/05/08 3993 0
목록

+ : 최근 6시간내에 달린 댓글
+ : 최근 12시간내에 달린 댓글

댓글