- 질문 게시판입니다.
| Date | 21/03/12 19:59:02 |
| Name | 한썸머 |
| Subject | 다시 한번 네트워크 질문입니다. |
|
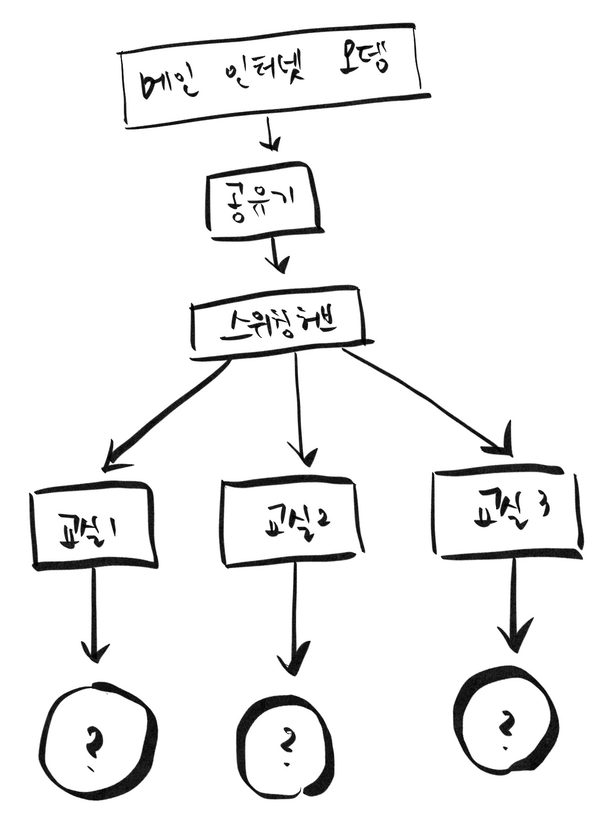
제가 똥멍청이인 관계로 다시 한번 질문 드립니다 ㅠㅠㅠ 이제 이 지긋지긋한 내부 인터넷 작업이 끝나가는 것 같기도 아닌 것 같기도 합니다. 많이 쳐내고 쳐내서 아래 사진과 같은 상황이 되었습니다. ![]() 각 교실 벽에 나온 포트로 유선 연결을 하면 인터넷 사용이 되는 것은 알고 있는데 와이파이가 필요한 경우, 어떤식으로 연결해서 써야 하는지 궁금합니다. 전에 알려주신 대로 공유기를 허브로 만들어서 연결하면 와이파이 설정이 가능할까요? 만약 가능하다면 공유기 -> 스위칭허브 -> 허브(와이파이사용) 이 되는건데 이런 방식이면 허브 -> 허브 -> 허브 이렇게 쭉 늘려갈 수도 있는것인지 궁금하네요 (이럴 일은 없습니다만..) 0
이 게시판에 등록된 한썸머님의 최근 게시물 |
|


